Home
Favorites
My Account
Menu
Common Core Sheets
Matematica
Ortografia
creare una recensione
creare un test
creare un foglio
migliorare un paragrafo
Accedere
x
Pannello degli insegnanti
>
My Account
Distance Learning Assignments
Mia Classe
Opzioni
Matematica
>
Addizione
Sottrazione
Moltiplicazione
Divisione
Algebra
Angoli
Area & Perimetro
Bilanciare le Equazioni
Grafico a Barre
Box Plot
Capacità
Conversioni
Contare
Decimali
Divisione
Esercizi intensivi di Matematica
Famiglie di Operazioni
Fattori
Frazioni
Piano Cartesiano
Linee
Grafici a barre
Grafici a linee
it
Misure
Denaro
Moltiplicazione
Problemi con più parti
Numeri Negativi
Ordine delle Operazioni
Schemi & Funzioni
Percentuali
Probabilità
Proprietà
Rapporti
Arrotondamento
Forme
Statistica
Sottrazione
Conteggio
Temperatura
Tempo
Valore
Variabili
Pesi
Volume
Esercizi intensivi di Matematica
Pannello degli insegnanti
>
My Account
Distance Learning Assignments
Mia Classe
Opzioni
Lingue
>
spanish
german
russian
italian
vietnamese
french
english
Sostieni
>
Patreon
Paypal
Argomenti Vari
>
Contact & Comment
Come usare i fogli di lavoro
Contact & Comment
Home
Schede di matematica
Esercizi con i numeri negativi
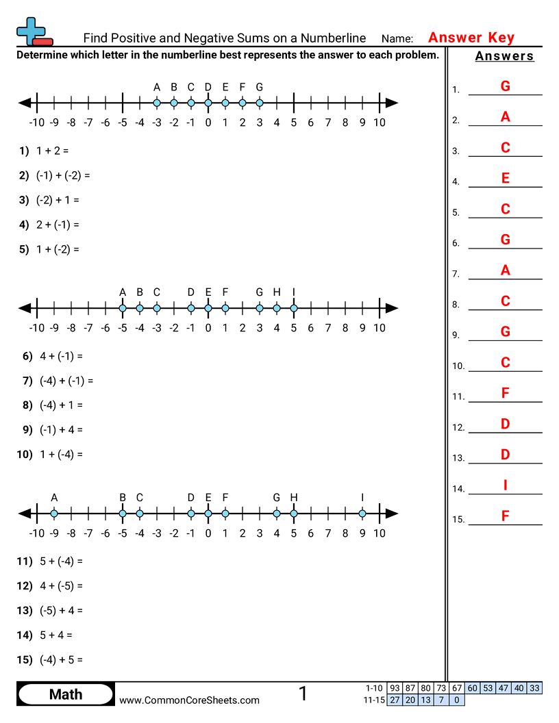
Mostrare la distanza con una linea dei numeri
Like
Annuncio
Mostrare la distanza con una linea dei numeri
Worksheet
Uno alla volta
Schede flash
Apprendimento a distanza
Crea nuovo foglio
Tags
frase breve
visivo
retta numerica
addizione
Standards
7ns1b
Related Worksheets
Annuncio