Esercizi su un Grafico a Linee
Se stai cercando i migliori fogli di lavoro sul grafico a linee su Internet, sei arrivato nel posto giusto! I nostri fogli di lavoro gratuiti sul grafico a linee sono perfetti per studenti di tutte le età e livelli di abilità. Questi fogli di lavoro coprono tutto, dai grafici a linee di base a argomenti più avanzati come i grafici a linee doppie e i dati mancanti. Con i nostri fogli di lavoro sul grafico a linee, i tuoi studenti impareranno come interpretare e creare grafici a linee, analizzare i dati e fare previsioni basate sui loro risultati. Che tu sia un insegnante alla ricerca di un nuovo modo per introdurre i grafici a linee alla tua classe, o un studente che cerca di rafforzare la tua comprensione di questo importante concetto, questi fogli di lavoro sul grafico a linee saranno sicuramente una risorsa preziosa. Quindi perché aspettare? Inizia ad usare i nostri fogli di lavoro sul grafico a linee oggi e guarda crescere le competenze e la fiducia dei tuoi studenti!
		
		
			
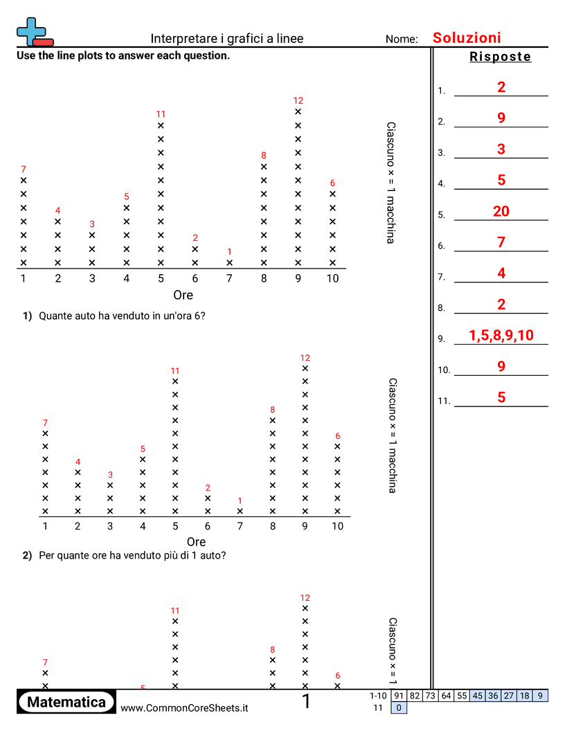
			Leggere un Grafico a Linee
			Collegamento
			
		
		 
			
			
			Schede flash
			Crea nuovo foglio
			Customize Problems
			Seleziona un foglio di lavoro
 > 
		Versione
 1
  Versione
 2
  Versione
 3
  Versione
 4
  Versione
 5
  Versione
 6
  Versione
 7
  Versione
 8
  Versione
 9
  Versione
 10
 Prendili tutti
		 
			
			
			Schede flash
			Crea nuovo foglio
			Seleziona un foglio di lavoro
 > 
		Versione
 1
  Versione
 2
  Versione
 3
  Versione
 4
  Versione
 5
  Versione
 6
  Versione
 7
  Versione
 8
  Versione
 9
  Versione
 10
 Prendili tutti
		
			Creare un Grafico a Linee
			Collegamento
			
		
		 
			
			
			Schede flash
			Crea nuovo foglio
			Seleziona un foglio di lavoro
 > 
		Versione
 1
  Versione
 2
  Versione
 3
  Versione
 4
  Versione
 5
  Versione
 6
  Versione
 7
  Versione
 8
  Versione
 9
  Versione
 10
 Prendili tutti
		
						Misura e Crea il Grafico(numeri interi)
					
					
				 
			
			
			Schede flash
			Crea nuovo foglio
			Seleziona un foglio di lavoro
 > 
		Versione
 1
  Versione
 2
  Versione
 3
  Versione
 4
  Versione
 5
  Versione
 6
  Versione
 7
  Versione
 8
  Versione
 9
  Versione
 10
 Prendili tutti
		 
			
			
			Schede flash
			Crea nuovo foglio
			Seleziona un foglio di lavoro
 > 
		Versione
 1
  Versione
 2
  Versione
 3
  Versione
 4
  Versione
 5
  Versione
 6
  Versione
 7
  Versione
 8
  Versione
 9
  Versione
 10
 Prendili tutti